Contoh Soal Fungsi Limit Tak Hingga. Pada dasarnya limit digunakan untuk menyatakan sesuatu yang yang nilainya mendekati nilai tertentu, seperti tak hingga yang pada dasarnya adalah angka yang sangat besar yang nilainya tidak dapat dipastikan. Pembahasa materi limit fungsi matematika mulai dari limit trigonometri, tak hingga, limit fungsi aljabar, dan contoh soal limit.
Makalah materi download unduh contoh soal limit matematika beserta pembahasan dan jawabannya lengkap terbaru beserta pembahasan tentang Limit didalam konsep ilmu matematik biasa digunakan untuk menjelaskan suatu sifat dari suatu fungsi, saat agumen telah mendekati pada suatu titik tak..tentang metode - metode penyelesaian limit fungsi aljabar tak hingga tersebut yang dirangkum dengan beberapa contoh soal dan pembahasannya.
Namun dipertemuan sebelumnya kami telah membahas mengenai Contoh Soal Fungsi.
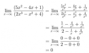
Limit pada umumnya digunakan di dalam materi kalkulus serta cabang lainnya dari analisis matematika yang digunakan dalam mencari turunan serta lanjutan. Disini kamu akan mendapatkan 🙋 materi beserta contoh soal dan pembahasan. Pada kesempatan ini kita akan membahas beberapa contoh soal dan penyelesaian limit fungsi menggunakan metode pemfaktoran.





